PENTAX K20D
Serial:2888720

Informations

Owner: alexandre bustico
Temperature: 20 (Celsius)
Maxval: 4095 (probably 12 bits A/D convertor)
Mosaic: BGGRBGGRBGGRBGGR
Sizex: 4688
Sizey: 3124
Multr: 1.000000
Multg: 1.000000
Multb: 1.000000

Results

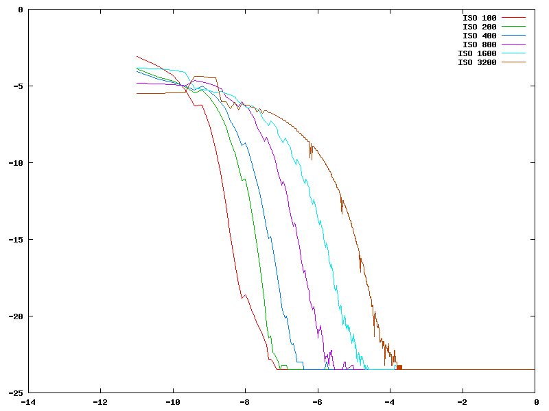
ISO curves


ISO 100


ISO 200


ISO 400


ISO 800


ISO 1600


ISO 3200

Shutters curves


SHUTTER 0.0003


SHUTTER 0.0005


SHUTTER 0.001


SHUTTER 0.008


SHUTTER 0.0111


SHUTTER 0.1


SHUTTER 1.


SHUTTER 10.